Comparative Analysis of Musical Performances by Using Emotion Tracking in the Arousal-Valence Plane
Fryderyk Chopin – Prelude in F minor, Op.28, No.18
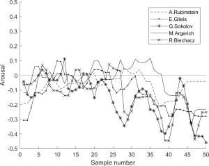
The analyzed Chopin performances were audio recordings played by 5 famous pianists:
Artur Rubinstein recorded in 1946
Emil Gilels recorded in 1953
Grigory Sokolov recorded in 1990
Martha Argerich recorded in 1997
Rafał Blechacz recorded in 2007


Arousal (left) and valence (right) over time for 5 performances of Prelude in F minor, Op.28, No.18 by Frederic Chopin


Arousal over time for the most similar (left) and the most different (right) performances to A. Rubinstein

Valence over time for the most similar (left) and the most different performance (right) to A. Rubinstein of Prelude in F minor, Op.28, No.18 by Frederic Chopin

Valence over time for the most similar (left) and the most different performance (right) to A. Rubinstein of Prelude in F minor, Op.28, No.18 by Frederic Chopin

